좀 전에 RNN 코드에 대해 설명하였는데 , 이번 포스트에서 조금 더 자세하게 다루어, 입력과 출력의 dimension 이 어떻게 결정이 되는지에 대해서 설명 하고자 한다. Cell 을 만드는 코드에서 출력의 size(hidden size)를 정한다. 이렇게 cell 을 만드는 부분과 사용하는 부분을 나눈 것은, cell 을 편리하게 바꿀 수 있게 다 RNN 또는 LSTM으로 바꿀 수 있음. Output 의 dimension 은 cell 을 만들어줄 때 hidden_size에 달려 있다. Hidden_Size 가 2이니까, 입력 데이터의 dimension이 무엇이든 간에, output dimension 은 2가 됨. Shape=(1,1,4)에서 마지막 4는 input dimension이다. Sequenc..
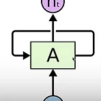
RNN 은 이전의 스테이트가 현재의 스테이트에 영향을 줄수있어야함. 시리즈의 데이터에 적합하다. 종종 위의 그림으로 표현한 것을 구글링 하면 많이 나오게 되는데. 실제로는 이런형태가 될것임. 위에것은 간략화된 버전. 그 이유는.. 아래의 함수를 보면 알 수 있다. 사람들이 그림 하나로 표현하는 이유는 각 상태에서 쓰이는 함수 Fw가 모든 RNN에서 동일하기 때문에가장 기본적인 RNN 은 바닐라 RNN (검색해보길) 일상생활에서 보이는 RNN 의 예로서 네이버검색창에 내가 평소에 관심 있어하는, 전동킥보드를 검색해보기로하였다. 이렇게 “전동” 두 글자만 입력했는데, 내가 찾고자 하는 전동 킥보드가 검색 추천으로 뜨는 것이 RNN이다. 오 똑똑해 똑똑해! 현재 글씨가 들어왔을 때 다음 글씨를 맞추는 것을 R..
학습을 시킨다는 것. Cost를 최소화하는 W를 찾아내는 것. 경사하강법을 사용해서 , start 가 어디든지 간에, 경사가 줄어드는 쪽으로 오게 됨. 산을 타고 내려오듯이.-기울기라는 것은 cost 를 미분한 값으로 나타난다 -알파는 learning rate. 이전의 regression은 숫자를 예측하는 것 이였다면 오늘 다룰 Binary Classification은 둘 중 하나를 정해진 카테고리로 고르는 1것이다 예) 스팸메일 구분.(스팸이거나 스팸이 아니거나) 0또는1로 인코딩한다. 데이터들을 나누는 선을 그리는것이 목적이다. 리니어 리그레션에서는 H(x)=Wx+b 를 0~1 사이의 값을로 압축을 시켜주는 함수가 필요하였고 그것이 Sigmoid 함수이다. Logistic function 이라고도 함..
- Total
- Today
- Yesterday
- 공항현장대기
- 비행기놓쳤을때
- 당일비행기표
- 공항현장발권
- 추석연휴비행기표
- 항공권취소표
- 비행기조회안됨
- 비행기자리없을때
- 설날비행기표
- 비행기취소표 #비행기매진 #항공권예약 #비행기표구하기 #항공권구매 #비행기표 #비행기표싸게사는법 #항공사취소표 #공항대기표 #여행꿀팁
- 취소표풀리는시간
- 공항현장구매
- 비행기도우미
- 비행기노쇼
- 비행기없음
- #스카이스캐너주의 #스카이스캐너미끼상품 #마이트립주의 #고투게이트후기 #항공권사기주의 #해외OTA주의 #항공권안전하게사는법 #항공사공홈예매 #항공권직접예매 #비행기표구하는법 #매진항공권구하기 #국내선매진대처 #항공권최저가함정 #스카이스캐너활용법 #항공권비교사이트 #제주항공권매진 #성수기항공권 #취소석줍줍 #항공권꿀팁 #비행기표꿀팁 #여행사항공권 #LCC항공권 #항공권환불 #비행기도우미 #국내선항공권
- 취소표구하는방법
- 비행기매진
- #비행기취소표 #비행기매진 #항공권예약 #비행기표구하기 #항공권구매 #비행기표없을때 #항공사취소표 #공항대기표 #여행꿀팁
- 취소표구하는법
- 추석비행기표
- 공항대기표
- 비행기취소표
- 2025년추석비행기표
- 아고다오버부킹
- 설날항공권
- 항공권매진
- 추석항공권
- 비행기매진일때
- 항공권예약팁
| 일 | 월 | 화 | 수 | 목 | 금 | 토 |
|---|---|---|---|---|---|---|
| 1 | 2 | 3 | 4 | |||
| 5 | 6 | 7 | 8 | 9 | 10 | 11 |
| 12 | 13 | 14 | 15 | 16 | 17 | 18 |
| 19 | 20 | 21 | 22 | 23 | 24 | 25 |
| 26 | 27 | 28 | 29 | 30 |